锂离子电池在线荷电状态估计:一种滚动时域估计方法

锂离子电池在线荷电状态估计:一种滚动时域估计方法

2016年11月2日

          近日,课题组文章《Online state of charge estimation of lithium-ion batteries: A moving horizon estimation approach》在期刊《Chemical Engineering Science》上发表。

          锂离子电池(LIBs)的在线荷电状态(SOC)估计不仅依赖于高精度的电池模型,还取决于高效可靠的状态估计算法。为此,本文提出了一种基于非线性电池状态空间模型的移动窗估计(MHE)方法,用于在全SOC范围内实现精确估计。在建模阶段,采用多项式函数刻画电池模型中电路参数与SOC之间的非线性关系,从而更真实地反映电池的动态特性。在MHE问题的构建过程中,关键的到达代价项通过滤波方案进行近似,并利用扩展卡尔曼滤波(EKF)方法动态更新其协方差矩阵,以增强状态估计的自适应能力。实验部分首先通过混合脉冲功率特性(HPPC)测试指导模型结构构建与MHE参数整定,随后在恒流放电测试与动态应力测试(DST)中验证所提方法的适用性,并系统比较了MHE与EKF在SOC估计性能方面的差异。结果表明,与EKF相比,MHE方法对初始SOC误差不敏感,能更快速地收敛至真实SOC值,同时在动态工况下表现出更高的稳定性与精度。这充分验证了MHE在实现高精度、高鲁棒性和强适应性的SOC在线估计方面的潜力。本研究提出的基于非线性状态空间的MHE框架,不仅为锂离子电池的动态建模与状态监测提供了一种可扩展的新思路,也为智能电池管理系统(BMS)的自主感知与优化控制奠定了坚实的理论基础和工程应用价值。

原文链接:https://pubs.acs.org/doi/10.1021/ie5044049

 

锂离子电池的同步模型选择和参数估计:顺序MINLP求解方法

锂离子电池的同步模型选择和参数估计:顺序MINLP求解方法

2015年9月3日

          近日,课题组文章《Simultaneous model selection and parameter estimation for lithium-ion batteries: A sequential MINLP solution approach》在期刊《AIChE Journal》上发表。

          等效电路模型(ECM)是一种广泛应用于锂离子电池(LIB)荷电状态(SOC)估算与健康状态(SOH)监测的实用建模工具。然而,传统ECM中电路参数与SOC的函数关系通常基于经验确定,缺乏系统性与最优性,难以保证模型在精度与复杂度之间的合理平衡。为解决这一问题,本文提出了一种用于函数形式选择与参数估计的系统化求解框架。该框架通过建立双目标混合整数非线性规划(MINLP)模型,同时考虑模型精度与复杂度两个优化目标。针对该模型,设计了两种互补的求解策略:显式法(将模型复杂度作为约束处理)与隐式法(将复杂度以惩罚形式融入目标函数)。两种方法均采用基于理想解与对偶理想解的判据确定最优函数形式,实现了对模型性能的动态权衡。通过对商业化锂离子电池的脉冲放电测试与混合脉冲功率特性(HPPC)测试进行验证,结果显示所提方法能够在保证预测精度的同时,自动生成结构最简、性能最优的ECM模型。本研究为锂离子电池模型构建提供了一种可自动化、可扩展的优化建模思路,为未来电池的在线状态估计与全寿命管理奠定了重要的理论与方法基础。

原文链接:https://pubs.acs.org/doi/10.1021/ie5044049

 

基于多项式的超级电容器电荷再分配主导自放电过程等效电路模型的系统评价

基于多项式的超级电容器电荷再分配主导自放电过程等效电路模型的系统评价

2016年1月30日

          近日,课题组文章《A systematical evaluation of polynomial based equivalent circuit model for charge redistribution dominated self-discharge process in supercapacitors》在期刊《Journal  of Power Sources》上发表。

         准确刻画以电荷再分布为主导的自放电过程,对于超级电容器的功率管理系统具有重要意义。尽管等效电路模型(Equivalent Circuit Models, ECMs)被广泛用于描述自放电过程中的非线性特性,但传统方法通常在不同初始电压下分别建立模型,这种分离建模方式在预测其他未测试初始电压时往往表现欠佳。本文提出了一种包含泄漏电阻的三支路等效电路模型,用于表征超级电容器中由电荷再分布主导的非线性自放电动态行为。模型中各电路参数被显式地表示为初始电压的函数,并系统评估了不同阶数的多项式函数在拟合精度与预测性能方面的表现。通过对一只额定电容为3000 F的商用超级电容器在不同初始电压与温度条件下的实验研究,揭示了初始电压与温度对电荷再分布主导自放电过程的影响。建模结果表明,五阶多项式函数已足以准确刻画初始电压对该非线性自放电过程的影响,并在预测精度方面达到最优。同时,基于多项式函数的ECM相比插值建模的ECM在预测性能上表现显著更优,进一步验证了所提模型的有效性与稳健性。本研究为超级电容器自放电机理建模提供了一种高精度、可扩展的参数化建模方法,为能量存储系统的高效管理与寿命预测奠定了坚实的理论与工程基础。

原文链接:https://www.sciencedirect.com/science/article/pii/S0378775315305000#ack0010

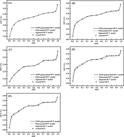
计及单调性的锂离子电池多项式开路电压模型构建:半无限规划公式化方法

计及单调性的锂离子电池多项式开路电压模型构建:
半无限规划公式化方法

2015年3月5日

          近日,课题组文章《Embedding Monotonicity in the Construction of Polynomial Open-Circuit Voltage Model for Lithium-Ion Batteries: A Semi-infinite Programming Formulation Approach》在期刊《Industrial & Engineering Chemistry Research》上发表。

         开路电压(Open-Circuit Voltage, OCV)的精确建模在锂离子电池(Lithium-ion Battery, LIB)的荷电状态(State of Charge, SOC)估算与健康状态(State of Health, SOH)监测中具有关键作用。若OCV模型存在单调性违背,将导致SOC估算不准确,并削弱基于增量容量分析(Incremental Capacity Analysis, ICA)的SOH诊断效果。为此,本文提出了一种基于非线性半无限规划(Nonlinear Semi-Infinite Programming, NSIP)的OCV建模与参数估计方法。通过引入OCV关于SOC的一阶导数约束,从理论上保证模型的单调性要求,并构建相应的NSIP优化模型以实现参数求解。为高效求得全局最优解,本文采用了基于右端约束限制的全局优化算法,在保证优化精度的同时显著提升了计算效率。通过OCV拟合与ICA分析结果对所提方法进行验证,结果表明,所建立的NSIP多项式模型在预测性能与单调性保持方面均优于传统多项式模型与S型模型。此外,该方法在SOC估算与SOH监测中的表现更为稳定与精确,充分体现了嵌入导数约束的建模优势。本研究提出的NSIP建模框架不仅为锂离子电池OCV特性建模提供了一种可自动保持物理约束的优化思路,也为其他需嵌入导数约束的复杂过程建模问题提供了具有普适性的理论与方法参考。

原文链接:https://pubs.acs.org/doi/10.1021/ie5044049

锂离子电池健康状态估计:一种多尺度高斯过程回归建模方法

锂离子电池健康状态估计:一种多尺度高斯过程回归建模方法

2015年2月19日

          近日,课题组文章《State of health estimation of lithium-ion batteries: A multiscale Gaussian process regression modeling approach》在期刊《AICHE Journal》上发表。

          锂离子电池的健康状态(State of Health, SOH)精确估计在荷电状态(State of Charge, SOC)估计与剩余使用寿命(Remaining Useful Life, RUL)预测中均起着至关重要的作用。其中,SOC估计通常依赖于短期(一步预测)SOH结果,而RUL预测则要求具备长期SOH预测能力。为此,本文提出了一种系统化的多尺度高斯过程回归(Gaussian Process Regression, GPR)建模方法,用于实现高精度SOH估计。该方法首先采用小波分析对SOH时间序列进行分解,有效分离出全局退化趋势、局部再生特性及随机波动成分。随后,利用包含时间索引的GPR模型对全局退化趋势进行拟合,并基于滞后向量输入的GPR模型递归预测局部再生与短期波动,实现对SOH演化过程的多尺度建模与动态追踪。本文通过锂离子电池退化实验数据对所提方法进行了验证,并分别评估了一步预测与多步预测性能。结果表明,所提出的多尺度GPR方法在预测精度与稳定性方面显著优于未进行趋势分解的传统GPR模型。本研究提出的多尺度GPR建模框架,不仅为锂离子电池的RUL预测与SOC估算提供了高精度、可扩展的智能建模工具,也为复杂时序数据的健康管理与退化过程建模提供了一种具有普适性和前瞻性的研究范式。

原文链接:https://aiche.onlinelibrary.wiley.com/doi/full/10.1002/aic.14760